|
Greener
Journal of Agricultural Sciences Vol. 9(2), pp. 250-258, 2019 ISSN: 2276-7770 Copyright ©2019, the copyright of this article is
retained by the author(s) DOI Link: http://doi.org/10.15580/GJAS.2019.2.052719103 http://gjournals.org/GJAS |
|
Leaf
Decomposition and Nutrient Release in Four Selected Species in Makurdi, Benue State, Nigeria
Okoh T.1; Edu E.A.2; Ebigwai
J.K.2
1 Department of
Botany, Federal University of Agriculture Makurdi,
Nigeria.
2 Department of Plant and
Ecological Studies, University of Calabar, Nigeria.
|
ARTICLE INFO |
ABSTRACT |
|
Article
No.: 052719103 Type: Research DOI: 10.15580/GJAS.2019.2.052719103 |
Leaf decomposition rates in Prosopis africana, Parkia biglobosa, Daniellia oliveri and Morinda lucida were investigated in Makurdi,
Benue State, Nigeria. Decomposition
was determined as loss in mass of litter over a period of 8 weeks (January
15- March 15, 2016 and August 15 –October 15, 2016). The exponential decay
model Wt / W0 = |
|
Submitted: 27/05/2019 Accepted: 30/05/2019 Published: |
|
|
*Corresponding
Author Okoh T. E-mail:
thomasokoh@ gmail.com |
|
|
Keywords: |
|
|
|
|
INTRODUCTION
Litter decomposition is a major
biogeochemical process in nutrient cycling particularly carbon, in forest
ecosystems (Perry et al., 2008; Aerts, 2006; Shields, 2006; Zhang et al., 2008). Litter decomposition is the weight loss due to
physical fragmentation (caused by abiotic factors), microbial activity or the
leaching of nutrients from plant materials (Werry and
Lee, 2005). Several factors controlling decomposition rate have been suggested
by different researchers and include temperature, moisture and litter quality (Karberg et al.,
2008), leaf-dry matter content, leaf toughness, nitrogen and lignin contents
(Cornelissen et al., 2007) and the
decomposer (faunal) community, which in turn is influenced by the tree species
(Aponte et al., 2012; Dechaine et al.,
2005). Fallen leaves tend to build up a layer of litter on the floor hence
their decomposition becomes an important pathway for nutrients release and
recycling back to the soil (Abugre et al., 2011). Consequently, studies on
litter decomposition rates are necessary for understanding nutrient dynamics (Karberg et al.,
2008).
Most studies on litter decomposition are site
specific and difficult to extrapolate on spatial scales and considering the
diverse vegetation in tropical Africa, it becomes necessary to investigate the
decomposition and the pattern of nutrient in some of the woody species. Prosopis africana, Parkia biglobosa, Daniellia oliveri and Morinda lucida are
common species in the Guinea savanna ecosystem and provide important ecological
services including nutrient cycling. This study research therefore, investigates
the rate of leaf litter decomposition while the specific objectives are; to
evaluate the turnover rate, projected residence time for all and half the
initial mass to decompose and the nutrient accumulation index in the leaves of
the selected species.
MATERIALS AND METHODS
Data Collection
Leaf
decomposition rates for all the species were determined as loss in mass of
litter over a period of 8 weeks.
Senescent leaves were harvested by plucking the leaves directly from the
tree since plants are believed to have nutrient re-absorption ability just
before senescence (Ocheing and Erftemeijer,
2002). The leaves were rinsed with de-ionized water and air dried for 24 hours,
to remove dust particles and placed in litter bags kept under the same tree.
Twenty-gram weight (20 g) of senescent leaves from five litter bags of each
plant were oven dried at 80 0C to constant mass and used to
determine the mean initial mass of dry leaves in the bags.
Eight litter bags were placed on the soil
surface under each plant and tethered with nylon rope. A total of 320 bags were
distributed among the eight species (each species in five replicates, each
replicate with eight litter bags). A litter bag was collected from each plant
(40 litter bags) at 14, 28, 42 and 56 days after initial placement. Thus, a
total of 160 bags were retrieved and analysed. After each collection, the litter
was gently rinsed (to get rid of soil), oven dried at 80 0C to
constant mass, weighed and finely ground in a mill for nutrient analysis. The
experiment was carried out in both wet and dry seasons.
Data Analysis
Graphs of mean mass of litter remaining after
time t, as percentage of initial dry mass were obtained for all species. The
negative single exponential decay model by Minderman
(1968); Olson (2007) and Aldair et al. (2010) was used to evaluate the relationship between
percentage mass of litter remaining and sampling time for all species using
equation (3).
Wt / W0
=
-kd t;
Where
W0 = initial dry mass; Wt =
mass remaining at time t; Kd
= decomposition coefficient in days (d-1) and is derived as follows:
Loge
(Wt / W0) =
loge -Kd t
Loge
(Wt / W0)= - Kd t
Kd =
- -1/t(loge
Wt -loge W0) ![]()
A two-way analysis of variance (ANOVA) (Obi,
2002) was used to evaluate the effects of species and exposure time on the rate
of decomposition for all the species, with species and exposure time as the
main factors. The time taken for half the initial material to decompose (t50)
was evaluated using equation; t50= ln 2/k; where, ln = natural
logarithm; K = decomposition rate.
Net changes in
nutrients
Nutrient accumulation index (NAI) for each
species was calculated in order to establish a net mineralization or accumulation
of carbon and nitrogen in the decomposing leaves, using equation NAI= (
)
(Harman et al., 1986); where, Wt = the dry weight of the leaf litter at time
t, Xt = the nutrient concentration of the
leaf litter at time t, the initial dry weight of leaf litter and X0=
the initial concentration of nutrient in the leaf litter.
An NAI value of 1.0 indicates that the
decomposed leaf litter contains the same mass of the element ‘X’ when the leaf
litter was placed in the litter bag; NAI < 1.0 indicates net mineralization
of the element from the decaying leaf litter and NAI > 1.0 indicates net
assimilation of the element by the decaying leaf litter.
Relationships
between exposure time and nutrient contents (carbon and nitrogen contents) in
decomposing leaves were evaluated using correlation and regression analyses.
RESULTS
Leaf Decomposition, Turnover Rate(kd) and Residence Time(1/kd)
The average percentages of original dry weight
of leaves remaining following exposure for 56 days indicates D. oliveri (89.63%,
85.20%) and P. africana
(81.00%, 77.40%) having the fastest and slowest decomposition in both
seasons respectively (figure 1). ANOVA revealed highly significant differences
(P<0.01) in decomposition rates and exposure time (days) and a significant
interaction (P<0.05) between species and exposure time in both seasons,
suggesting that all species were affected in different ways. The average
decomposition rate (kd)
in the dry season for all the species was 0.0022 g d-1 with P. africana
having the fastest decomposition rate (0.0033 g d-1) while P. biglobosa and
M. lucida have the slowest
decomposition rates (0.0017 g d-1). In the wet season however, the
average decomposition rate was 0.0026 g d-1, with the fastest rate
of decomposition in P. africana (0.0039 g d-1) while D. oliveri had
the slowest decomposition rate (0.0017 g d-1) (Figure 2).
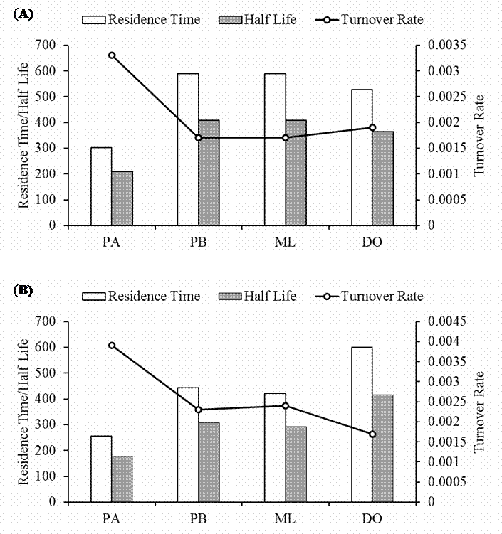
The shortest projected residence times(1/kd) were observed in P. africana (303 and 256 days) in both seasons,
while the longest residence times were recorded in P. biglobosa and M. lucida (588 days) and Daniellia oliveri (599 days) in the dry and wet seasons,
respectively. The time taken for half of the initial leaf in litter bags to
decompose (T50) during the dry season ranged from 210 days in P. africana to
407 days in P. biglobosa
and M. lucida; while in the wet
season it ranged between 177 days in P africana and 415 days in D. oliveri (Figure 2)
Nutrient dynamics
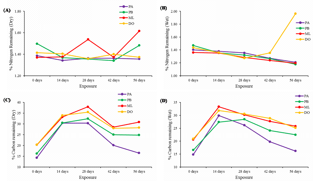
Nitrogen content decreased generally with exposure
time in both seasons across species except in Morinda lucida which showed increase (1.37-1.62)
in the dry season and Daniellia
oliveri (1.44-1.96) in the wet season (Figure 3).
Carbon content however, increased in the first 14 days in all the species
across seasons, and thereafter decreased progressively (Figure 3). ANOVA
revealed highly significant differences (P<0.05) in nitrogen and carbon
contents. Mean C: N ratio in all the species at the end of study increased
generally in both dry and wet seasons. There was net mineralization of nitrogen
in all the species in both seasons while carbon showed a net assimilation in
the dry season, and a net mineralization in the wet season (Figure 2). There were weak positive relationships (P>0.05) between
exposure time (days) and nitrogen and carbon contents in the dry season while
in the wet season, only carbon showed a positive relationship with exposure
time. (Table 1).

Figure 1. % Dry weight remaining for
four species (A) Dry season (B) Wet season. PA: Prosopis africana, PB: Parkia biglobosa, ML: Morinda lucida, DO: Daniella oliveri.
Table
1. Correlation
and regression coefficients and equations showing relationship between exposure
time and nitrogen and carbon decomposition.
|
Comparison |
Pearson Correlation r |
R2 |
Strength of Correlation |
p value |
Equation |
|
Dry |
|||||
|
Exposure
time v Nitrogen |
0.148 |
0.022 |
Weak
positive |
0.143 |
y
= 1.38+7.5E-3*x |
|
Exposure
time v Carbon |
0.168 |
0.028 |
Weak
positive |
0.094 |
y
= 24.49+0.8*x |
|
Wet |
|||||
|
Exposure
time v Nitrogen |
-0.115 |
0.013 |
Weak
negative |
0.256 |
y
= 1.39+-0.01*x |
|
Exposure
time v Carbon |
0.075 |
0.006 |
Weak
positive |
0.460 |
y
= 24.2+0.28*x |

Figure 2. Residence Time, Half Life
and Turnover Rate of four species (A)
Dry season (B) Wet season. PA: Prosopis africana, PB:
Parkia biglobosa,
ML: Morinda lucida, DO: Daniella oliveri.

Figure 3. %
Nutrients remaining after exposure. (A) Nitrogen (dry) (B) Nitrogen (wet) (C) Carbon
(dry) (D) Carbon (wet). PA: Prosopis africana, PB: Parkia biglobosa, ML: Morinda lucida, DO: Daniella oliveri.

Figure 4. %
Nutrient Accumulation Index in the species leaves following exposure. (A)
Nitrogen (dry) (B) Nitrogen (wet) (C) Carbon (dry) (D) Carbon (wet). PA: Prosopis africana, PB:
Parkia biglobosa,
ML: Morinda lucida, DO: Daniella oliveri.
DISCUSSION
The variation in decomposition rate among
species in both seasons (Figure, 1) is in line with reports by Mitchell et al. (2007), Aponte et al., (2008), Austin and Vivanco (2006), Sariyildiz and
Anderson (2003); who suggested that litter quality and environmental conditions
affect decomposition rates. They further explained that, tree species induced
changes in soil fertility, microclimate as well as fauna and microbial
communities which influenced decomposition on the floor. Negrete-Yankelevich et al. (2008), Vivanco
and Austin (2008) and Ayres et al.
(2009) further stated that placing the litter bags under specific canopy
instead of other plant cover offers a home-field advantage that enhances a
positive litter-environment (soil communities) interaction.
Significant variation (p˂0.01) in
average decay coefficient in both species and exposure time (days), suggests
that differences in nutrient and chemical composition in the decomposing leaves
are critical factors of decomposition (Table, 1). The mean decay coefficients (kd) within the study period (0.0022 and 0.0026)
in both dry and wet seasons were generally low compared to the estimated mean
decay coefficient for most tropical and temperate forests (k=1.8 and k= 0.9) as
reported by Toreta and Takeda (1999) and (k>2) in
most African forests (Anderson and Swift, 1983). Sariyildiz
et al. (2005) stated that higher k
values (k>1) means rapid nutrient cycling in the ecosystem and a low k value
(k<1) indicates a longer time for decomposition to take place. The low mean
k values (0.0022 and 0.0026) in this study hereby indicate a slow decomposition
of the species leaves and will increase the chance of litter export from the
floor (Werry and Lee, 2005), thus affecting nutrient
cycling.
Substrate quality which varies with species
litter (C: N, N: P ratios, Lignin, Calcium and Magnesium contents) has been
highlighted as the main rate determining factors of decomposition (Cornellissen et al.,
2006; Hobbie et
al., 2006; Cornwell et al., 2008;
Gusewell and Gessner, 2009;
and Berge et al., 2010). Kemp et al. (2003) also stressed the
significance of litter quality in determining decomposition, saying that short
lived species with high nutrients decomposed faster than long lived species
with woody and leathery tissues, high nitrogen and carbon rich components
(lignin, cellulose).
The slow Decomposition in dry season
(November to April) compared to the wet season (May to October) in this study (Figure
2) suggests the possible influence of water on the rate of decomposition. The
wet season probably provided adequate moisture which enhanced leaching of
soluble materials thus promoting microbial activities (Edu, 2012). Water
availability also determines differences in decomposition trend and mass losses
as it is limiting for most organisms that affect decomposition, although very
high amount of water slows down decomposition rate (Goulden,
2005; Abugre et
al., 2011).
Litton et
al. (2011) also reported that warming temperatures increased the rates of
litter decay and nutrient release. Laura and Yolanda (2007) demonstrated
spatial variability in decomposition and reported that, leaf litter exposed to
radiation decomposed faster than those under canopy. Placing the leaves under
the tree canopies in this study probably resulted in slow decomposition rate.
The early decomposition in the first 14 days,
suggests that some of the labile or rapidly decomposing fractions (sugar,
starch or proteins) are water soluble and attracted immediate microbial
utilization or leaching that resulted in mass loss in the early phase of
decomposition. Gusewell and Gessner
(2009), Berg et al., (2010) and Abugre et al.
(2011) explained that availability of limiting elements such as Nitrogen and
Phosphorus determines early decomposition where as carbon loss at the late
stage is determined by availability of elements required to decompose
recalcitrant materials such as lignin in the remaining litter. Consequently,
only the slow decomposing tissues (cellulose, lignin,) are left to decompose in
the last phase of the experiment.
Nutrient accumulation index (NAI) revealed a
net mineralization of nitrogen (except in Morinda lucida and Daniellia oliveri) while carbon was immobilized in
both seasons except in P. africana. This result therefore indicates a release of
nitrogen from the decomposing leaves into the soil (recycled) while carbon was
immobilized (assimilated) probably through microbial population.
CONCLUSION
The initial drop in litter quantity during
the first phase of decomposition and the occasional rise in nutrient contents
of decomposing litter observed in this study are in line with the general model
of litter decomposition which includes initial leaching of nutrients, nutrient
immobilization and nutrient release into the soil. Decomposition rate generally
increased with exposure time and varies with seasons. There was a net
mineralization of nitrogen in both seasons while carbon was immobilized.
REFERENCES
Abugre, S. C., Oti-Boateng
& Yeboah, M. F. (2011). Litterfall and
decomposition trend of Jatropha curcas L.
leaves mulches under two environmental conditions. Agriculture and Biology Journal of North America, 2(3), 462-470.
Aldair,
E. C., Hobbie, S. E. & Hobbie,
R. K. (2010).
Single pool exponential decomposition models; potential pit falls in their use
in ecological studies. Ecology, 91,
1225-1236.
Aerts, R. (1997). Climate,
leaf litter chemistry and leaf litter decomposition in terrestrial ecosystems:
a triangular relationship. Oikos, 79, 439–49.
Aerts, R. (2006).
The freezer defrosting: global warming and litter decomposition rates in cold biomes. Journal of Ecology, 94, 713–24.
Anderson, J. M. & Swift, M. J. (1983). Decomposition
in tropical forest. In: S. L. Sulton, A. C.
Chadwick & T. C. Whitmore (Eds.), The tropical rain
forest ecology and management (pp 289-309). Oxford, Blackwell.
Aponte, C., Garcia, L. V., Perez-Ramos, I. M., Gutierrez,
E. & Maranon, T. (2011). Oak trees and soil interactions in
Mediterranean forests: a positive feed-back model. Journal of Vegetation Science, 22,
856-867.
Aponte,
C., Garcia, L. V. & Maranon, T. (2012). Tree species effect
on Litter decomposition and nutrient release in Mediterranean Oak forests
changes over time. Ecosystems, 15, 1204-1218.
Austin, A. T. & Vivanco, L.
(2006).
Plant litter decomposition in a semi-arid ecosystem
controlled by photo-degradation. Nature,
442, 555–558.
Ayres, E., Steltzer, H., Berg, S. & Wall, D. H. (2009).
Soil biota accelerates decomposition in high-elevation forests by specializing
in the breakdown of litter produced by the plant species above them. Journal of Ecology, 97, 901-912.
Berg,
B. & McClaugherty, C. (2008). Plant litter, decomposition, humus formation and carbon sequestration. (Ist
ed.). New York. Springer-Verlag.
Berg, B.
(2000). Litter decomposition and organic matter turnover in Northern forest
soils. Forest ecology
and management, 133, 13-22.
Berg, B., Davey, M.,
De Marco, A., Emmett, B., Faituri, M., Hobbie, S., Johansson, M. B.,Liu, C., McClaugherty, C.,
Norell, L., Rutigliano, F.,
Vesterdal, L. & De Virzo
S., A. (2010). Factors influencing limit values for pine needle litter
decomposition: a synthesis for boreal and temperate pine forest systems. Biogeochemistry, 100, 57-73.
Cornelissen, J. H. C., Van Bodegom, P. M., Aerts, R.,
Callaghan, T. V., Van Logtestijin, R. S. P. & Alatalo, J. (2007). Global negative feed-back to climate
warning responses of litter decomposition rates in cold biomes. Ecological Letters, 10,
619- 627.
Cornwell, W. K., Cornellissen, J. H. C., matangelo,
K., Dorrepaal, E., Eviner,
V. T., Godoy, O., Hobbie, S. E., Hoorens,
B., Kurokawa, H., Perez-Harguindeguy,
N., Quested, H. M., Diaz, S., Callaghan,
T. V., Wright, I. J., Allison, S. D., Bodegom, P. V.,
Aerts, R., Santiago, L. S., Wardle, D. A., Brovkin, V., Chatain, A.,
Garnier, E., Gurvich, D. E., Kazakou,
E., Klein, J. A., Read, J., Reich, B., Soudzilovskaia,
N. A., Vaieretti, M. V. & Westoby,
M. (2008). Plant species traits are the predominant control on litter
decomposition rates within biomes worldwide. Ecological Letters, 11, 1065-1071.
Dechaine,
J., Ruan, H., Sanches de
Leon, Y. & Zou, X. (2005). Correlation between earthworms and plant
litter decomposition in a tropical wet forest of Pueto
Rico. Pedobiologia, 49(6), 601-607.
Edu,
E. A. (2012). Litter dynamics
(production, composition and Decomposition) of mangroves in a mixed riverine
Mangrove forest of the Cross River Estuary, Nigeria. Unpublished Doctoral
Thesis, Faculty of Science, University of Calabar, Calabar Nigeria.
Goulden, C. (2005). Decomposition rates of forest and steppe
vegetation. http; //www.hovsgoecology.org/04research
/decomposition. Retrieved
December 2, 2006
Gusewell,
S. & Gessner, M. O. (2009). N:P ratios
influence litter decomposition and colonization by fungi and bacteria in microsoms. Functional
Ecology, 23, 211-219.
Hobbie, S. E., Reich, P. P.
B., Oleksyn, J., Ogdahl,
M., Zytkowiak, R., Hale, C. & Karolewski,
P. (2006). Tree species effect on decomposition and forest floor dynamics in a
common garden. Ecology, 87, 2288-2297.
Karberg, N. J., Neal, A. S. & Giadina, P. C.
(2008). Methods for estimating litter decomposition. In: C. M. Hoover (ed.). Field
Measurements for Forest Carbon Monitoring (pp. 103-111), New York, Springer
Science +Business Media B.V.
Kemp, P. R., Reynolds, J.
F., Virginia, R. A. & Whitford, W. G. (2003). Decomposition of leaf
and root litter of Chihuahuan desert shrubs: effects
of three years of summer drought. Journal
of Arid Environment, 53, 21–29.
Laura, A. & Yolanda, M.
(2007). Spatial variability in decomposition rates in a desert scrub of
North-western Mexico. Plant Ecology, (213-225).
Baja, California Sur, Mexico.Springer
Science + Business Media B.V.
Litton, C. M., Giardina, C. P., Albano, J. K., Long, M. S. & Asner, G.
P. (2011). The magnitude and variability of soil-surface CO2 efflux
increase with mean annual temperature in Hawaiian tropical montane wet forests.
Soil Biology and Biogeochemistry, 43, 2315-2323.
Minderman, G. (1968). Addition, decomposition and accumulation of organic matter in
forests. Journal of Ecology, 56,
335-362.
Mitchell, R. J.,
Campbell, C. D., Osler, G. H. R., Van Bergen, A. J., Ross, L. C., Cameron, C.
M. &. Cole, L. (2007). The cascading effects birch on heather moorland: a
test for the top-down control of an ecosystem engineer. Journal of Ecology, 93,
540-554.
Negrete-Yankelevich,
S., Fragoso, C., Newton, A., Russell, G. & Heal, O. (2008). Species
specific characteristics of trees can determine the litter macro-invertebrate
community and decomposition process below their canopies. Plant Soil, 307, 83-97.
NIMET (Nigerian Meteorological Agency) (2015). Annual weather bulletin of the Nigerian
Meteorological Agency, Tactical Air Command, Nigerian Air Force, Makurdi,
Benue State, Nigeria.
NIMET (Nigerian Meteorological Agency) (2016). Annual weather bulletin of the Nigerian
Meteorological Agency, Tactical Air Command, Nigerian Air Force, Makurdi,
Benue State, Nigeria.
Obi, J. U. (2002). Statistical methods of determining
differences between treatment means and research methodology issues in
laboratory and field experiments.
Enugu: SNAAP Press.
Olson, J. S. (2007). Energy storage and the balance of producers and decomposers in
ecological systems. Ecology, 44,
322-331.
Sariyildiz, T.
Anderson, J. M. & Kucuk, M. (2005). Effects of
tree species and topography on soil chemistry, litter quality and decomposition
in Northeast Turkey. Soil Biology
and Biochemistry, 37, 1695-1706.
Shields,
A. B. (2006).
Leaf litter decomposition and substrate chemistry of early successional species
on land slides in Puerto Rico. Biotropica, 38, 348–53.
Vivanco,
L. & Austin, A. T. (2008). Tree species identity alters forest litter
decomposition through long-term plant and soil interactions in Patagonia,
Argentina. Journal of Ecology, 96, 727-736.
Zhang,
D., Hui, D., Luo,Y. &
Zhou, G. (2008). Rates of decomposition in terrestrial ecosystems: global
patterns and controlling factors. Journal
of Plant Ecology, 1(2), 85-93.