
GREENER JOURNAL OF BIOLOGICAL SCIENCES
ISSN: 2276-7762 ICV: 5.99
Submitted: 20/03/2017 Accepted: 27/03/2017 Published: 10/05/2017
Research Article (DOI: http://doi.org/10.15580/GJBS.2017.3.032017040)
Qualitative and Quantitative Changes of Haemocytes from Honeybee, Apis mellifera (L.) (Hymenoptera: Apidae) After Intrahaemocoelic Injection with Bacillus thuringiensis
Emad M.S. Barakat*1, Walaa A. Moselhy2, Zeinab A. Shouaib3, Mostafa A. Taha4
1Department of Entomology, Faculty of Science, Ain Shams University, Abbassia, Cairo, Egypt.
2Department of zoology, Faculty of Science, Al-Azhar University, Naser city, Cairo, Egypt.
3Department of zoology, Faculty of Science, Al-Azhar University, Naser city, Cairo, Egypt.
4Department of zoology, Faculty of Science, Al-Azhar University, Naser city, Cairo, Egypt.
*Corresponding Author’s Email: emsbarakat@ yahoo. com
ABSTRACT
The present work was carried out aiming to characterize the haemocytes from different developmental stages of honeybee, Apis mellifera (L.) after experimental injection of Bacillus thuringiensis (B.t.) into the haemocoel. Six haemocyte types were recognized in pupae: prohaemocytes (PRs), granulocytes (GRs), oenocytoides (OEs), spindle-shaped cells (SPLs), plasmatocytes (PLs), and adipohaemocytes (ADs). Eight types were found in larvae; in addition to the previous mentioned haemocyte types, spherulocytes (SPs) and eosinophil cells (EOs), while ten types were recognized in the adult stage; the previous mentioned eight types plus micronucleocytes (MIs) and macronucleocytes (MAs). Due to bacterial injection, certain pathological consequences were observed in the defined haemocytes such as vacuolization in the cytoplasm, distortion of the cell membrane and pycnosis in the nuclei. Moreover, the differential and total haemocyte counts were found to increased or decreased depending on the developmental stage and the time of haemolymph collection after bacterial injection. Other observed cellular responses against bacterial injection were phagocytosis and nodule formation.
Key words: Apis mellifera, Bacillus thuringiensis, haemolymph, haemocytes, THC, DHC, cellular immunity, phagocytosis, nodule formation.
INTRODUCTION
Eusocial animals have a high potential risk of spreading infection among individuals from the same colony because they live in highly integrated groups with an overlap of generations. Additionally, the high level of cohesion in eusocial animals may increase the risk of disease outbreak as a result of close living quarters, high genetic relatedness between individuals, and continuous physical interactions between individuals within and across generations (Godfrey et al., 2006). Social insects have evolved adaptive mechanisms to decrease rates of disease transmission, including mutual grooming and removal of dead nest mates (Maragarita, et al., 2016). In response, eusocial insects have evolved novel behavioral, physiological, and organizational adaptations to combat the increased risk of disease (Aubert and Richard, 2008). Understanding of the pathogen effects of on the honeybee biology is critical to the development of new ways for improving bee health. Honeybees defend themselves from an especially diverse range of pathogens, including bacteria, fungi, viruses, protozoa, mites, flies, beetles, and nematodes (Evans et al., 2006).
Disease resistance is difficult to measure, while multiple measures of immune strength would be taken, such as: total and differential haemocyte counts, phagocytosis, nodule formation, fat body mass, and phenoloxidase activity to achieve a broad spectrum analysis of immunocompetence (IC). Due to differences in pathogen pressure and behavioral capacity, larvae and pupae of honeybee may have varied physiological IC than adults. In order to examine if honeybee IC varies with developmental stage, physiological IC across honeybee developmental stages will be assayed through study of honeybee cellular IC over the three developmental stages: larvae, pupae, and adults.
In the field of Entomology, haemocytes are an attractive research arena for many scientists (Liu, et al., 2013). In most insects, there are several types of circulating haemocytes and these haemocytes have been the focus of research on cell development and differentiation (Strand, 2008). Insects lack an acquired immune system like of the higher animals but have a well-developed innate response . The cellular defense of insects refers to haemocyte-mediated immune responses (Lavine, 2002 and Schmidt, 2008). Although the type of immunocytes and their exact role in insects are debatable (Alfonso, 2002), the primary functions of the insect haemocytes are coagulation, phagocytosis, encapsulation, detoxification, storage and distribution of nutritive materials (Sanjayan, 1996 and Siddiqui and Al-Khalifa, 2012). Insect haemocytes can also produce many immune proteins like antibacterial peptides and phenoloxidase (Ashida, 1988 and Kanost, 2004). Phagocytosis was the primary response of haemocytes toward smaller particles where some haemocytes are capable to recognize and phagocytose foreign targets, including latex beads, bacteria, and malaria sporozoites (Ottaviani, 2005). Nodule formation, as a mean of defense, is a phenomenon in response to challenge with a range of abiotic and biotic materials that cannot be removed from circulation by phagocytosis (Salt, 1970 and Barakat et al., 2016).
The present study aims to achieve more precise key for the haemocytes in A. mellifera larvae, pupae and adult workers and describing their interactions with the invading B.t. bacteria to obtain information about the different cellular mechanisms of insect immune system. The understanding of these mechanisms may lead to methods for manipulating them to human advantage.
MATERIALS AND METHODS
Experimental insects:
Honeybee, Apis mellifera carnica (L.) was used as an experimental insect in the present study. The insects were reared under special rearing conditions in Honeybee Research Unit, Plant Protection Research Institute, El-Manzallah, El-Dakahlia Governorate. The fourth larval instar, (13-15) day old pupa and the adult worker were used in this study.
The used entomopathogenic bacteria:
The bacterium, Bacillus thuringiensis kurstaki (B.t.) (3200 IU/mg, AGERIN- wettable powder) was chosen as the pathogen for this study because of its wide use as a biocontrol agent against insects. Bacteria were grown aerobically at 28 ± 2°C in nutrient broth tubes for 48h, and harvested by suspending in sterile distilled water. Prior to use, the pure isolate made from the bacterial sample previously prepared was transferred to a nutrient agar medium and incubated at 28 ± 2ºC for 24h. Bacterial suspensions were adjusted to sub lethal concentrations (LC20) of 8.2 x 108, 8.2 x 106 and 8.2 x 105cells cells/ml for larvae, pupae and adults, respectively.
Technique of injection:
Injection of insects was done with a 20 μl Hamilton micro-syringe fitted with a 26-gauge needle. Three microlitters of B.t. suspensions were injected into each insect. Distilled water injected insects were used as control, while other group of insects was remained uninjected.
Collection of haemolymph:
Haemolymph was collected from larvae, pupae and adults at 3, 6, 12 and 24 h post-injection. For larvae, haemolymph was collected by puncturing the soft cuticle of the abdomen with a sterilized fine forceps. The haemolymph was collected from pupae by puncturing the soft cuticle between the second and third dorsal abdominal segment, while the ventral level of the pro-mesothorax articulation of the adults was punctured to obtain the haemolymph (Gilliam and Shimanki, 1970 and Anita, 2013).
Identification of haemocytes:
Haemocytes from 10 insects in a given stage were distinguished and identified on the basis of morphological characteristics and staining affinity. According to Arnold and Hinks (1979) haemolymph was smeared on clean glass slides, allowed to dry for 1 min, and fixed for 2 min with drops of absolute methyl alcohol. Fixed cells were stained with Giemsa’s solution (diluted 1:20 in distilled water) for 20 min, and washed several times with distilled water, and then dipped in tap water. The stained smears were air-dried and mounted by Canada balsam with cover slips. The haemocytes were examined under oil immersion with a Leitz Wetzlar microscope (1600x) and 100 cell per slide were recorded. Cell-shape, diameter, nuclear-cytoplasmic ratio and cytoplasmic inclusions were used for the classification of haemocytes using the classification scheme of Brehelin and Zachary (1986).
Differential haemocyte counts (DHCs):
Various haemocytes were differentially counted by examining five slides (prepared from 5 individuals) of insect stage at different time intervals and approximately 100 cells were differentially counted per slide (Salt , 1 9 7 0 ) .This achieved using stained preparations (blood films) by Giemsa stain and examining by light microscopy. The percentages of haemocyte types were calculated by the formula:
Number of each haemocyte type
_______________________________ X 100
Total number of haemocytes examined
Total haemocyte counts (THCs):
Fresh haemolymph was collected as mentioned before. The haemolymph was taken up directly to the specially calibrated 0.5 mark on a Thoma-white blood cell diluting pipette. Diluting fluid (2 % acetic acid with a trace of methylene blue) was taken up to the 11 mark on the pipette (dilution was 20). The mixture was shaken by hand for 3 min. The first 3 drops were discarded to avoid errors and used the fourth drop for the count, employing a spencer bright-line haemocytometer with improved Neubauer ruling (counting slide). The cells in 1 ml big squares (four corners squares) were counted and multiplied by a factor 50 to give the number of cells per mm3. At least 3 drops from each insect were counted and 5 replicates for different insect stages at different time intervals. The above method was proposed by Tauber and Yeager (1935). The number of haemocytes per cubic millimeter was calculated according to the equation of Jones (1962):
Number of haemocyte counted per chamber X dilution X depth factor
_______________________________________________________
Number of 1 mm squares counted
The depth factor is 10
Estimation of phagocytosis:
Phagocytosis in haemocytes was estimated via examination of the fixed Giemsa stained slides by light microscopy for different insect stages at different time intervals post-injection. Percentages of haemocytes which engulfed bacterial cells were calculated according to the method described by Rowley and Ratcliffe, 1980. For each sample at least 100 cells were evaluated at magnification 1600x.
Estimation of nodule formation:
The injected insects were dissected under a binocular microscopy (M6C-9, N841757 and USSR) at magnification 87.5x. Only haemocyte aggregations consisting of more than 10 haemocytes were considered. Numbers of nodules were counted in five insects of different stages after the different periods. To determine the numbers of nodules in larvae the insects were dissected by a hypodermic needle, while in case of adult and pupae the bees were thoroughly heat-fixed, then the wings and the hind legs were cut-off and a vertical slit in the anterior part of whole body was made using a fine scissors. The number of nodules per insect was counted. The general appearance and size (small < 40 µm, medium 40–100 µm and large > 100 µm) of the nodules were also noted (Gunnarsson and Lackie, 1985).
Statistical analysis of the data:
IBM SPSS statistics (V. 24.0, IBM Corp., USA, 2016) was used for data analysis. Dates were expressed as Mean ± SE for quantitative parametric measures in addition the following tests were done, Comparison between more than 2 patient groups for parametric data using Analysis of Variance (ANOVA). The multiple comparisons (Post-hoc test or least significant difference, LSD) were also followed to investigate the possible statistical significance between each 2 groups. The probability of error at 0.05 was considered significant.
RESULTS
Identification of haemocytes:
Ten haemocyte types were determined in adults, eight in larvae and six in pupae. These haemocytes are prohaemocytes (PRs), granulocytes (GRs), oenocytoides (OEs), spindle-shaped cells (SPLs), plasmatocytes (PLs), spherulocytes (SPs), adipohaemocytes (ADs), micronucleocytes (MIs), macronucleocytes (MAs) and eosinophil cells (EOs) (Plate 1). PRs are the smallest type; round to ovoid in shape and have a large nucleus occupies 70-90% of the cell volume (Plate 1, A1). GRs are variable in sizes, round to oval in shape and nucleus accounts for only 50-60% of the cell volume (Plate 1, A2). OEs are medium to large, round or oval cells with an eccentric nucleus occupying 20-40% of the cell volume (Plate 1, A3). SPLs are elongated cells with twisted ends; and with large round or ovoid nucleus with a large amount of cytoplasm (Plate 1, A4). PLs are larger than prohaemocytes; they are polymorphic cells, round, oval or fusiform cells and nucleus is central, round to ovoid and occupies 40-50% of the cell volume (Plate 1, A5). SPs are often very large haemocytes; round to ovoid in shape and their cytoplasm are filled with large-sized inclusions known as spherules and obscure the small nucleus (Plate 1, A6). ADs are small to large, spherical or oval cells and the nucleus is smaller than plasmatocyte`s nucleus, rounded or elongate and is mostly eccentrically located. The cytoplasm contains vacuoles (Plate 1, A7). MIs are medium to large round cells and nucleus is smaller in proportion to the cell (Plate 1, A6). MAs are medium to large round cells and have relatively large nucleus (Plate 1, A9). EOs has a large red-staining nucleus, and the hyaline cytoplasm is seldom visible (Plate 1, A10).
Pathological effects of B.t. on the haemocytes:
The haemocytes of B.t. injected and non-injected insects were compared at the normal level by light microscopy. Bacteria induced pathological consequences included cytoplasmic and nuclear anomalies (Plate II). Irregular appearance of cell membrane of GRs and PLs was observed (Plate II, A1-A4 & B1-B6 respectively). In GRs pycnosis appeared obviously in the nuclei, and cells were characterized by highly granulated and deeply stained nucleoproteins (Plate II: A1-A2), vacuolization in the cytoplasm (Plate II: A3-A4), distortion of the cell membrane (Plate II: A4). PLs showed great variation in the cell volume (Plate II: B1-B6), vacuolization in the cytoplasm (Plate II: B2, B4-B5), distortion of the cell membrane (Plate II: B5) and some nuclei appeared bilobed (Plate II: B6). In the MIs, the cytoplasm appeared vocalized (Plate II: C), OEs have a cytoplasmic extension (Plate II: D), where Pycnosis appeared obviously in the nuclei of MA (Plate II: E).
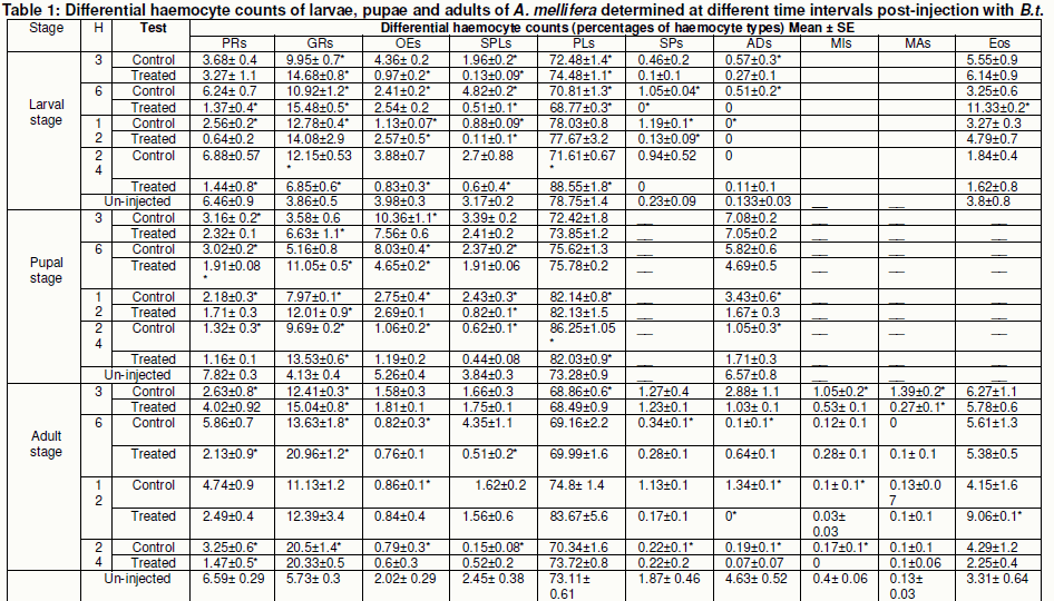
Differential haemocyte counts (DHCs):
With respect to differential haemocyte counts (DHCs) in larvae, GRs and PLs increased significantly (P< 0.05) at 3, 6 and 24 h post-injection, SPLs decreased significantly (P> 0.05) at all-time intervals post-injection, PRs decreased significantly (P> 0.05) at 6 and 24 h, EOs, decreased significantly (P> 0.05) at 6 h, OEs, decreased significantly (P> 0.05) at 3 and 24 h, but at 12 h they were significantly increased, SPs decreased significantly (P> 0.05) at 6 and 12 h, while ADs had no significance difference (P> 0.05) at all-time intervals post-injection. In the bacterial injected pupae, GRs increased significantly (P< 0.05) at all-time intervals post-injection, PLs decreased significantly (P> 0.05) at 24 h, PRs and OEs decreased significantly (P> 0.05) at 6 h, SLPs decreased significantly (P> 0.05) at 12 h, while ADs had also no significance difference (P> 0.05) at all-time intervals post-injection. In the bacterial injected adults, GRs increased significantly (P< 0.05) at 3 and 6 h , EOs, increased significantly (P< 0.05) at 12 h post-injection, PRs decreased significantly (P> 0.05) at 6 and 12 h periods, SPLs decreased significantly (P> 0.05) at 6 h, MAs, decreased significantly (P> 0.05) at 3 h, ADs decreased significantly (P> 0.05) at 12 h, while MIs, OEs, PLs and SPs had no significance difference (P> 0.05) at all-time intervals post-injection (Table 1).
Total haemocyte counts (THCs):
The mean THCs of healthy larva, pupa and adult of A. mellifera were 1467± 328.07, 1433.33± 202.764 and 2365.67± 369.09 cells/mm3, respectively. A puzzling observation was recorded in each developmental stage injected with bacteria. B.t.-Injected larvae and adults had a significant increase (P < 0.05) in the THCs at 12 and 24 h, and no changes (P > 0.05) at 3 and 6 h post-injection compared with water-injected(control) insects. Treated pupae showed no change in the THCs at 3 and 6 h, but at 12 and 24 h post-injection, the THCs were decreased significantly (P > 0.05) as compared with control pupae (Fig. 1).
Phagocytosis:
Phagocytosis was observed in larvae, pupae and adult A. mellifera at 3, 6, 12 and 24 h post-injection with B.t. cells, but never observed in both un-injected(healthy) and water-injected insects. The results indicated that PLs were the essential phagocytic cell type in larvae and pupae, although GRs had a marked role as well. Otherwise, GRs were the main phagocytic cell type in adults, followed by PLs (Plate III & IV). Phagocytosis was shown to be composed of four phases: attachment (Plate III, Al & A2 and Plate IV, A1), activation of pseudopodia (Plate III, A3 and Plate IV, A2), engulfing with pseudopodia (Plate III, A4 and Plate IV, A3), and then digestive vacuole (Plate III, A5 and Plate IV, A4-5). Some cells appeared to contain phagocytosed bacilli (Plate III, A6 and Plate IV, A6). Results also indicated that the phagocytic activity increased significantly (P<0.05) with time following injection, the peak was 6 h in larvae, but at 12 h post-injection in pupae and adult stages (Fig. 2).
Nodule formation:
No nodules were formed in the all dissected healthy insects at all stages. Nodule formation was observed as a result of B.t. injection into all insect stages at all-time intervals post - injection and few of them appeared after water injection. Nodule formation involves the aggregation of numerous haemocytes around the injected material (Plate V). Nodule counts showed significant changes at the different insect stage. In larvae there was a significant increase (P < 0.05) in the number of nodules at 12 and 24h, while the significant increase was recorded in pupae and adults at 24 h post-injection (Fig. 3).
DISCUSSION
The majority of the studies carried on the A. mellifera, concerning insect hematology were conducted on the larvae. Here, a comparative study of the basic types of the blood cells, differential and total haemocyte counts and haemocyte interactions with invading bacteria was carried out on the different developmental stages (larvae, pupae and adult workers).
Insect haemocytes have been the subject of numerous investigations. These investigations have led to a long time controversy; so many difficulties concerning the form and the function of insect blood cells are still remaining and additional work in this field is urgently required. These differences presumably, due to the variable morphology of haemocytes depending on methods of investigation, insect species, developmental stage, nutrition and other physiological states (Jones, 1962 and Gupta, 1979). In general, the insect haemocytes are essentially classified according to cytological parameters such as size and shape of cell, shape and location of the nucleus, nuclear cytoplasmic ratio; and chemical parameters such as staining affinity which facilitate discrimination of different haemocyte types. Such parameters were utilized in the present study according to morphological criteria developed by Brehelin and Zachary (1986).
Totally ten types of haemocytes were recognized in the normal haemolymph of all developmental stages of A. mellifera. Six types; PRs, PLs, GRs, ADs, OEs and SPLs are common in all stages, while SPs and EOs had been found in larvae and adults, and MIs and MAs had been found only in adults. Concerning the six common haemocyte types, our results demonstrated that pupae have the large numbers of these cell types than larvae and adults.
Injection of B.t. cells produced several pathological events on the haemocytes of larvae, pupae and adults. These conditions characterized as (1) changes in the plasma membrane (erosion and extrusions of their cytoplasmic contents), (2) vacuolization and degeneration of the cytoplasm, (3) nuclear changes (pycnosis and division of the nuclei), (4) cell dwarfing and (5) lytic and degradation of haemocytes. The observed pathological conditions in the infected haemocytes may be induced by the bacterium activity or their toxins. These results are in consistence with the results of Zakaria (2007) on the A. mellifera naturally infected with Paenibacillus larvae larvae, Barakat et al. (2002) and Momen et al. (2012) on Schistocerca gregaria injected with B.t. They attributed the effect of bacteria on the haemocytes to B.t. exotoxins.
Differential counts revealed great differences in percentages and numbers of these haemocyte before and after B.t. injection. PLs of healthy (un-injected) insects are the most abundant cell type and represent from 72.31% (the least value) in the pupal stage to 80.16% in larval stage. Other cell types represent the other 19.84- 27.69% of the total cell numbers. These results are in accordance with the results reported by Bozena and Andrzej (2003) and Barakat et al. (2016) on A. mellifera, but conflict with others, e.g., Agripina (2009) and Abdel-Rahman (2014) who worked on larvae and found the percentages of PLs were (0.6-2.0%), (20-22%) and (6.2-20%), respectively, and Sawsan (2010) who worked on adults and found that the percentages of PLs were be 90.29-93.38%.
Following B.t. injection into larvae and adults, the percentages of PRs and SPLs were decreased initially and the increased thereafter, while those of GRs and PLs increased initially following injection and then decreased. But in pupa, the later cells began to decrease following injection and then increased latterly. The initial decrease of PRs (stem cells) after injection may be explained with their transformation into PLs and GRs which are needed in phagocytosis and nodule formation. This suggestion was established by Mori (1979) in Homarus americanus. The increase in GRs (observed in all stages) and PLs (observed in larval stage) may be attributed to the release of sessile haemocytes after wounding. This concept is supported by the observations of Van-Steenkiste (1988) to honeybees injected with carbon dust particles, Papadopoulou-Karabela (1993) and Barakat (2000) to A. mellifera artificially infected by Pseudomonas aeruginosa and Barakat et al. (2016) to A. mellifera naturally and artificially infected by P. l. larvae. On the other hand, the decrease in PLs post-injection (observed in the pupal stage) and GRs (temporary observed in some time intervals post-injection in all stages) may be due to their incorporation in phagocytosis. These results are also compatible with Wienands et al. (1987) and Zakaria (1997) who detected a decrease in percentage of the PLs at all developmental stages of honeybees following Varroa infestation.
Percentages of ADs in larvae, pupae and adults had a continuous decrease, but those of OEs decreased in larvae and pupae following injection and then increased, while in adults, they increased following injection and then decreased. On contrary, percentages of EOs increased in larvae but decreased in adults following injection. This may be due to the non-phagocytic affinity of these cells. These results agree with Glinski and KLimont (1987a, b) and Zakaria (1997) who worked on honeybees infected with varroa mite.
From the above mentioned results, great differences in percentages of different haemocyte types after bacterial attack were observed; this may be due to the bacterial effect or the insect stage. These findings agree , to some context, with Barakat (2000) on honeybee workers following infection with bacteria, Sorescu and Dragomir (2003) and Zakaria (2007) on the same insects infected with P. l. larvae. Also, Gilliam (1973); Van-Steenkiste (1988) and Zakaria (1997) mentioned that, in developing worker honeybee, the DHC varied with the age of bees. Contrarily, Wille and Vecchi (1974) didn't report any changes in the proportions of the different haemocyte types in bees injected with bacteria or protozoa.
Furthermore, the total number of haemocytes per microliter haemolymph is higher in the pupal and adult stages, but lower in larvae. This may be attributed to the use of these haemocytes in food transport, storage and metabolism to meet their future demand in metamorphosis and foraging (Bardoloi and Hazarika, 1992). The lower haemocyte count observed in larvae may be due to the involvement of haemocytes in phagocytosis and nodule formation which always accompanied with the death of defensive haemocytes (Bedick et al., 2001), or may be due to the action of the released toxins and its lytic action in the haemocoel and degradation of haemocytes (Faye, 1978; Gregore and Bowen, 1998). The THC may normally vary greatly with the amount of available blood, sex, stage of development, and other physiological states (Jones, 1962). Various abnormal conditions may profoundly affect the THC such wounding, extreme low or high temperature and infection with various diseases (Shapiro, 1979). In the present study, the THCs were significantly increased following B.t. injection into the adult stage, while in larvae there was an initial decrease followed by a late increase, but in pupae there was a continues significant decrease. The initial increase may be due to the release of sessile haemocytes and the activation of mitotic activity of the haemocytes. These results agree with the findings of Glinski and Grazgorczyk (1995) on adult bee workers infected with American foulbrood, Glinski and Jarosz (1995) on bee workers infected with some bacterial spores, Abrol (1996) on larva of A. mellifera and A. cerana indica infected with Tropilaelaps clareae mite, Sarag El-Dien (1999) on bee larvae and workers infected with varroa mite and bacteria and Barakat (2001) on workers of A. mellifera injected with P. aeruginosa.
On the other hand, Nour (1998) found a marked decrease in THCs in adult bee workers infected with chronic paralysis virus (CPV), and Zakaria (2007) observed a sharp decrease in THCs of A. mellifera larva naturally infected with P. l. larvae when the immunity process downfall. This conclusion supports our results concerned with the decrease in THC count observed in B.t.-injected pupae.
Generally, the THC is positively correlated with the rate of phagocytosis, nodule formation, and recognition of foreign bodies (Barakat, 2001) and is likely to reflect the capability of immune system to deal with pathogens or chemical molecules. In the present study, the haemocytes of all injected insect stages were capable of phagocytosing the injected material (B.t.) and phagocytosis of B.t. by haemocytes was recorded as a multiple steps process. These results agree with Brehelin and Zachary (1986), Barakat (2001) and Barakat et al., (2016) on honeybee larvae and adults. Althogh, there is a considerable disagreement about the cell type mainly responsible for phagocytosis in insects. Ratcliffe and Rowley (1979) reported that the PLs are the most important phagocytic cells, but Tojo et al. (2000) reported that both GRs and PLs are involved in this reaction. Neuwrith (1973) and Barakat et al. (2016) reported that the predominant cells involved in phagocytosis are PLs; followed by GRs. These differences probably result from the large variations occurring in haemocyte types even between closely related species. Consequently, the rate of phagocytosis sharply increased immediately following injection and decreased at one point (in larvae at 6 h and in pupae and adults at 12 h post-B.t.-injection). These results are in agreement with those of Zakaria (2007) who reported that the immune system was completely breakdown when the bacterial infection reached the high level.
Nodule formation was also observed within few hours post-injection with B.t. into the larva, pupa and adults of A. mellifera. Generally, the rate of nodulation increased gradually from the time phagocytosis decreased. At the same time, control stages also succeeded to induce nodule formation, but the reaction was weaker comparable with bacterial challenge, where the control nodules were mostly small in size, but in bacterial injected stages the medium and large nodules represented the highest percentage. Heike et al. (2011) detected a limited nodule formation to a narrow range of the lifespan, larvae responded with a very weak nodulation reaction compared with adults after the bacterial injection. These results are in agreement with Barakat (2001) and Barakat et al. (2016) worked on honeybee’s larvae and adults.

H: hours post-injection
N=5 *significant (p < 0.05)
PR (Prohaemocyte), GR (Granulocyte), OE (Oenocyte), SPL (Spindle shaped cell), PL (Plasmatocyte), SP (Spherulocyte), ADs (Adipohaemocyte cell) MI (Micronucleocyte), MA (Macronucleocyte) and EO (Eosinophil cell).

Plate I: Photomicrographs of normal haemocytes from larvae, pupae and adults of A. mellifera. Scale bar: 10 μm and magnification 16000x. A1: Prohaemocyte (PRo), A2: Granulocytes (GR), A3: Oenocyte (OE), A4: Spindle shaped cell (SPL), A5: Plasmatocyte (PL), A6: Sherulocyte (SP), A7: Adipohaemocyte (AD), A8: Micronucleocyte (MI), A9: Macronucleocyte (MA), & A10: Eosinophil cell (EO).

Plate II: Photomicrographs of B.t..-treated haemocytes from larvae, pupae and adults of A. mellifera. Scale bar: 10 μm and magnification 16000x. A1- A4: Granulocytes (GRs), B1-B6: Plasmatocyte (PL), C: Micronucleocyte (MI), D: Oenocytoide (OE) and E: Macronucleocyte.

Fig. 1: Total haemocyte count of larva, pupae and adults of A. mellifera determined at different time intervals post-injection with B.t.

Fig 2: Percentages of phagocytosis by haemocytes from larvae, pupae and adults of A. mellifera determined at different time intervals post-injection with water (control) and B.t. Control values always equal zero.

Plate III: Photomicrographs of phagocytic events caused by plasmatocytes (PLs) towards injected bacteria. Scale bar: 10 μm and magnification 16000x. A1& A2: attachment; A3: activation of pseudopodia; A4: engulfing of bacteria; A5: vacuole formation and A6: cell with phagocytosed bacteria.

Plate IV: Photomicrographs of phagocytic events caused by granulocytes (GRs) towards injected bacteria. Scale bar: 10 μm and magnification 16000x. A1: attachment; A2: activation of pseudopodia; A3: engulfing of bacteria; A4& A5 vacuole formation and A6: cells with phagocytosed bacteria.

Plate V: Photomicrographs of nodules formation from different size in larvae, pupae and adult stages Apis mellifera
(A1) Nodules of different sizes; (A2, 3,4,5) small nodules after 3,6,12&24 h, respectively; (A6,7,8,9) medium nodules after 3,6,12,24 h, respectively; (A10,11,12,13) large nodules after 3,6,12&24 h, respectively.

Fig 3: Nodule formation by haemocytes from larvae, pupae and adults of A. mellifera determined at different time intervals post-injection with water (control) and B.t.
REFERENCES
Abdel-Rahman, M. F. 2014. Role of pollen and/or bee bread avail ability in brood rearing and cellular immune system of honey bees. J. Plant Prot. and Path., Mansoura Univ., Vol. 5 (12): 1125 – 1137.
Abrol, D.P. (1996). Effect of mite parasitosis on blood counts of honey bees Apis mellifera L. and Apis cerana indica F. (Hymenoptera : Apidae).Insect Environ., 2(1):18-19.
Agripina Sapcaliu, I. Radoi, Crengula Pavel, N. tudor, Eliza Caula, A. siceanu, F. meiu 2009. Research Regarding haemocte profile from Apis mellifera carpatica bee haemolymph originated in the south of Romania Medicina veterinara VOL. XLII.
AlFonso, T.B. and Jones, B.W. 2002. Gcm2 promotes glial cells differentiation and is required with glial cells missing for macrophage development in Drosophila. Devel. Biol. 248, 369-383.
Anita Giglio; Piero Giulio; Giulianini 2013. Phenoloxidase activity among developmental stages and pupal cell types of the ground beetle Carabus (Chaetocarabus) lefebvrei (Coleoptera, Carabidae) Department of Biology, Ecology and Earth Sciences, University of Calabria.
Arnold, J.W. and Hinks, C.F. 1979. Insect haemocytes under light microscopy: technique. In: Insect Haemocytes (A.P. Gupta, ed.). Cambridge Univ. Press, Cambridge.
Ashida, M., Ochiai, M. and Niki, T. 1988. Immunolocalization of prophenoloxidase among hemocytes of the silkworm, Bombyx mori. Tissue & Cell 20, 599-610.
Aubert, A., Richard, F.-J. 2008. Social management of LPS-induced inflammation in Formica polyctena ants. Brain, Behavior, and Immunity 22: 833–837.
Bailey and Ball (1991): Honey Bee Pathology 2nd edn. Academic Press, London.
Barakat, E.M.S. 2000. Haemocytic changes in honey bee, Apis mellifera (L.) following injection of bacteria. Ain Shams Sci. Bull., 38: 500-517.
Barakat, E.M.S. 2001. The cellular defence reactions of the honey bee, Apis mellifera in response to injected bacterium, Pseudomonas aeruginosa. Ain Shams Sci. Bull., 39: 214-227.
Barakat, E.M.S.; AboKersh, M.O. Gomaa, S.A. 2016. Haemocyte Activity and Cellular Defense Reactions in Various Larval Instars of Honey Bee (Apis mellifera L.) following Natural and Experimental Bacterial Infections, Journal of Biological Sciences Vol. 6 (2), pp. 020-033.
Barakat, E.M.S.; Meshrif, W.S. and Shehata, M.G. 2002. Changes in the haemolymph of the desert locust, Schistocerca gregaria after injection Bacillus thuringiensis. J. Egypt. Acad. Soc. Environ. Develop. (A.Entomology), 2: 95-115.
Bardoloi, S. and Hazarika, L. K. 1992. Seasonal variation of body weight, lipid reserves, blood volumes, and haemocyte population of Antheraea assama (Lepidoptera: Saturniidae). Environ. Entomol., 21(6): 1398-1403.
Bedick, J.C.; Tunaz, H.; Aliza, A.R.N.; Putnam, S.M.; Ellis, M.D. and Stanley, D.W. 2001. Eicosanoids act in nodulation reactions to bacterial infections in newly emerged adult honey bees, Apis mellifera, but not in older foragers. Comp. Biochem. Physiol., 130:107–117.
Bozena and Andrzej 2003. The influence of different diets on haemocytes of adult worker honey bees, Apis mellifera Apidologie 34 (2003) 97–102.
Brehelin, M. and Zachary, D. 1986. Insect haemocytes: a new classification to rule out the controversy. In: "Immunity invertebrates, cells, molecules and defense reactions" (Brehélin, M., ed.). Heidelberg: Spring Verlag. pp. 37-48.
Evans, J.D.; Aronstein, K. Chen, Y.P.; Hetru, C.; Imler, J-L.; Jiang, M.; Kanst, M.; Thompson, G.J.; Zou, Z. and Hultmark, D. 2006. The Immune pathways and defence mechanisms in honey bees Apis mellifera. Inse. Mol. Biol., 15(5): 645–656.
Faye, I. (1978): Insect immunity: early fate of bacteria injected in Saturniid pupae. J. Invertebr. Pathol., 31: 19-26.
Gilliam, M. and Shimanuki, H. 1970. Total hemocyte counts of honey bee larvae (Apis mellifera L.) from various elevations. J. Cellul. and Molec. Life Scienc. (CMLS), 26 (9).
Gilliam, M. 1973. Age-dependent variation of differential haemocyte counts of developing worker honeybees. J. Apic. Res., 12 (1): 61-64.
Glinski, Z. and Jarosz, J. 1995. Mechanical and biochemical defenses of honeybees. Bee World, 76(1): 110-118.
Glinski, Z. and K. Grazgorczyk, 1995. Cellular defense reactions in the honey bee in environment non-polluted with heavy metals. Annales- Universitatis Mariae -Curie Skodwska -Sectio dd; Medicina Veterinaria, 50(13): 131-137.
Glinski, Z. and Klimont 1987a. Effect of Varroa jacobsoni infestation on the blood cells of worker bees. Medycyna Weteryunaryjna, 43(9): 546-549; (Review of Applied Entomology, 6730/88).
Glinski, Z. and Klimont 1987b. Activity of haemocytes of worker honeybee during nature infestation with Varroa jacobsoni. Medycyna Weteryunaryjna, 43(11): 664-667; (Apic. Abst., 251/90).
Godfrey, S.S., Bull, C.M., Murray, K., Gardner, M.G. 2006. Transmission mode and distribution of parasites among groups of the social lizard Egernia stokesii. Parasitol. Res., 99: 223–230.
Gregore, A. and Bowen, I.D. 1998. Histopathological and histochemical changes in honey bee larvae (Apis mellifera) after infection with Bacillus larvae, the causative agent American foulbrood disease. Cell-Biol.-Internatio., 22(2): 137-144.
Gunnarsson, S.G. and Lackie, A.M. 1985. Haemocytic aggregation in Schistocerca gregaria and Periplaneta americana as a response to injected substances of microbial origin. J. Invertebr. Pathol., 46: 312-319.
Gupta, A.P., (1979): Insect haemocytes. Cambridge University Press, Cambridge. pp. 614.
Heike Gätschenberger, Olaf Gimple, Jürgen Tautz and Hildburg Beier 2011. Honey bee drones maintain humoral immune competence throughout all life stages in the absence of vitellogenin production BEEgroup, Biocentre, University of Würzburg, Am Hubland, D-97074 Würzburg, Germany.
Jones, J.C., 1962. Current concepts concerning insect haemocytes. Amer. Zool. 2, 209-246.
Kanost, M.R., H. Jiang, and X.Q. Yu, 2004. Innate immune responses of a lepidopteran insect, Manduca sexta. Immunol. Rev. 198, 97-105.
Lavine M.D. and Strand, M.R. 2002. Insect haemocytes and their role in immunity. Insect Biochem. Molec. Biol. 32, 1295-1309.
Liu F., Xu, Q., Zhang, Q., Lu, A., Beerntsen, B.T. and Ling, E. 2013. Hemocytes and hematopoiesis in the silkworm, Bombyx mori. I.S.J. 10, 102-109.
Maragarita M. lops Maragarita ez-Uripe, Warren B. Sconiers, Steven D. Frank and David R. Tarpy 2016. Reduced cellular immune response in social insects Dept. Entomology & Dept. of Applied Ecology.
Maria J. Kirrane, lilial de Guzaman, B.t.h Holloway Amand M. Frake, Thomas Rinder & Padriag M. 2015. Phenotypic & Genetic analysis of the varroa sensitive hygienic trait in Russian honeybee (Hymenoptera: Apidae) colonies.
Momen, S. A., Salem, D. A. M., Barakat, E. M. S. and salama, M. S. 2012. The role of prophenoloxidase Activation System IN Cellular Defense Mechanisms in the Haemolymph of the Desert Locust, Schistocerca gregaria (Forskal).M.Sc. Thesis, Sci. Facu., Ain Shams Univ.
Mori, H. 1979. Embryonic haemocytes. In: Origin and development in insects haemocytes. (Eds., Gupta, A.P.). pp. 3-27. Cambridge, Camridge university press.
Neuwrith, M., 1973. The structure of the haemocytes of Galleria mellonellaLepidoptera). J Morph. 139, 105-124.
Nour, M.N., 1998. Chronic bee paralysis virus(CPV) in honey bee colonies in Egypt. J. Agric. Sci. Mansoura Univ., 23(4): 1739-1747.
Ottaviani, E. (2005). Insect immunorecognition. ISJ 2: 142-151. ISSN 1824-307X.
Papadopoulou-Karabela, K.; Lliads, N. and Liakos, V. 1993. Haemocyte changes in honeybee (Apis mellifer L.) artificially infected by Pseudomonas aeruginosa. Apidol., 24: 81-82.
Ratcliffe, N. A. and Rowley, A. F. 1979. Role of haemocytes in defense against biological agents. In Insect haemocytes: Development, Forms, Functions and Techniques (A.P> Gupta,) 331-414. London: Cambridge Univ. Press (GR& PLS phagocytosis).
Rowley, A.F. and Ratcliffe, N.A. 1980. Insect erythrocyte agglutinines. In vitro, opsonization experiments with Clitummus extradentatus and Periplaneta americana haemocytes. Immunol., 40: 483-492.
Salt, G. (1970). The cellular defense reactions of insects. Cambridge Monographs in Experimental Biology. No 16, pp. 118, Cambridge Univ. Press. London and New york.
Sanjayan K.P., Ravikumar, T. and Albert, S. 1996. Changes in the haemocyte profile of Spilostetethus hospes (Fab) (Heteroptera: Lygaeidae) in relation to eclosion, sex and mating. J. Biosci. 21(6), 781-788.
Sarag El-Dien, F.S. (1999): Studies on the varroatosis "Varroa jacobsoni Oud." Ph. D. Thesis, Agric. Fac., of Tanta Univ., Egypt.
Sawsan S. El Mohandes; Emad A. Nafea and Asmaa M. Fawzy 2010. Effect of different feeding diets on the haemolymph of the newly emerged honeybee workers Apis mellifera L. Acad. J. biolog. Sci., 3 (1): 213 – 22.
Schmidt R. Martin, Axel Brockmann, Christian W.W. Pirk, David W. Stanleyc and Jürgen Tautz 2008: Adult honeybees (Apis mellifera L.) abandon hemocytic, but not phenoloxidase-based immunity. Journal of Insect Physiology 54(2):439-44 ·
Shapiro, M. 1979. Changes in the haemocyte populations In: Insect Haemocytes (Gupta AP, ed) Cambridge Univ. Press, Cambridge.
Siddiqui M.I. and Al-Khalifa, M.S. 2012. Circulating haemocytes in insects: phylogenic review of their types. Pakistan J. Zool. 44(6), 1743-1750.
Sorescu, I. and Dragomir, C. 2003. Differential haemocyte count and the phagocytic index in experimental bacterial infections and in field ascosphaerosis of honey bee (Apis mellifera L.) at various ontogenetic stages. Studies-and-Researchers-in-Veterinary-Medicine, 9: 133-168.
Strand, M.R., 2008. The insect cellular immune response. Insect Sci. 15, 01-14.
Tauber, O.E. and Yeager, J.F. 1935. On the total blood counts of insects. I. Orthoptera, Odonata, Hemiptera and Homoptera. Ann. Entomol. Soc. Amer., 28: 229-240.
Tojo, S.; Naganuma, F.; Arakawa, K. and Yokoo S. 2000. Involvement of both granular cells and plasmatocytes in phagocytic reactions in the greater wax moth, Galleria mellonella. J. Insect Physiol., 46: 1129–1135.
Van-Steenkiste, D. 1988. The haemocytes of the honeybee: typology, blood spectrum and cellular defence reactions. Bdo.proefschrift, Doctor in de wetenschappen, Rijksuniversiteit Gent, Belgium, (Apic. Abst 1173/89).
Wienands, A.; Strich, H. and Madel, G. 1987. Haemocytic and bacteriological aspects of the haemolymph of Apis mellifera L. (Hymenoptera, Apidae). Zentrlblatt-fur-Bakteriologie,-Mikrobilogie-und-Hygiene,-A. pp. 265, 489; Ba (Apic. Abst. 1264/89).
Wille, H. and Veechi, M.A. 1974. Untersuchungen Uber die haemolymphe der honigbien (Apis mellifera L.) 5. Morphologie der Leukozyten und vier krankheits elementen. Mitt Schweiz Entomol. Ges., 47: 133-149.
Zakaria M.E. 2007. The Cellular Immunity Responses in The Haemolymph Of Honey Bee Workers Infected By American Foulbrood Disease (AFB), Journal of Applied Sciences Research, 3(1): 56-63.
Zakaria, M.E. 1997. Current concepts concerning, haemocytes of honey bees and their features according to varroa parasitism. M. Sc. Thesis, Agric. Fac., Cairo Univ. pp: 172.
Cite this Article: Barakat EMS, Moselhy WA, Shouaib ZA, Taha MA (2017). Qualitative and Quantitative Changes of Haemocytes from Honeybee, Apis mellifera (L.) (Hymenoptera: Apidae) After Intrahaemocoelic Injection with Bacillus thuringiensis. Greener Journal of Biological Sciences, 7(3):025-040, http://doi.org/10.15580/GJBS.2017.3.032017040